Trends in U.S. Tornado Damage and Incidence
A new paper shows that U.S. tornado damage and strong tornado incidence are both sharply down, but you'll only read about that here
In 2011, the United States experienced more than 500 deaths and over $30 billion in losses from tornadoes. As is now common, climate activists were quick to claim that the destructive tornadoes that year were due to climate change. The National Oceanic and Atmospheric Administration (NOAA) rejected such claims, advising:
[A]pplying a scientific process is essential if one is to overcome the lack of rigor inherent in attribution claims that are all too often based on mere coincidental associations.
The 2011 tornado season motivated us — Kevin Simmons, Daniel Sutter and I — to take a close look at trends in tornadoes and their impacts across the United States. The result was a peer-reviewed paper with the first comprehensive normalization of U.S. tornado losses, for 1950 to 2011.
Our results surprised even us — U.S. tornado damage and tornado incidence appeared to have decreased dramatically, contrary to conventional wisdom:
The analysis presented in this paper indicates that normalized tornado damage in the US from 1950 to 2011 declined in all three normalization methods applied (two are statistically significant one is not). The degree to which this decrease is the result of an actual decrease in the incidence of strong tornadoes is difficult to assess due to inconsistencies in reporting practices over time. However, an examination of trends within sub-periods of the dataset is suggestive that some part of the long-term decrease in losses may have a component related to actual changes in tornado behaviour. Further research is clearly needed to assess this suggestion.
You can see that we were exceedingly cautious in how we framed the possibility that things were not actually getting worse. even so, our work was ignored by the Fourth U.S. National Climate Assessment, which instead claimed the opposite, contrary to the evidence and peer-reviewed research:
[T]here is reason to expect increased tornado frequency and intensity in a warming climate
A new paper has just been published by Zhang and colleagues — Time trends in losses from major tornadoes in the United States — which updates and extends our 2013 analysis. They find:
[B]oth the severity of damage from individual events and the total annual losses from tornadoes are seen to have reduced over time.
Their analysis confirms our earlier work:
[O]ur findings reiterate the results of Simmons et al. (2013) who emphasize the importance of normalizing loss data to draw adequate conclusions about the severity of natural hazards
You can see the results of their normalization for 1954 to 2018 in the figure below.

Compare their results with ours in the figure below, which I have just updated through 2022.

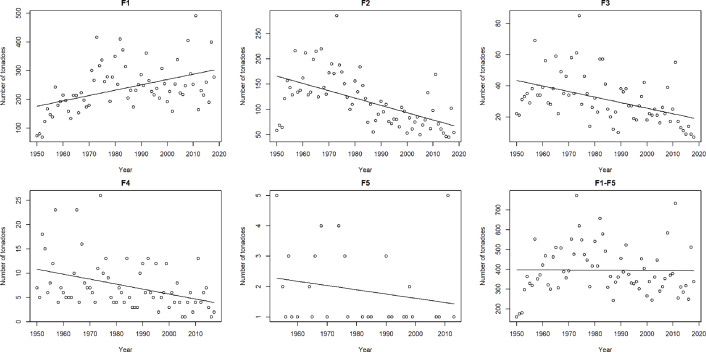
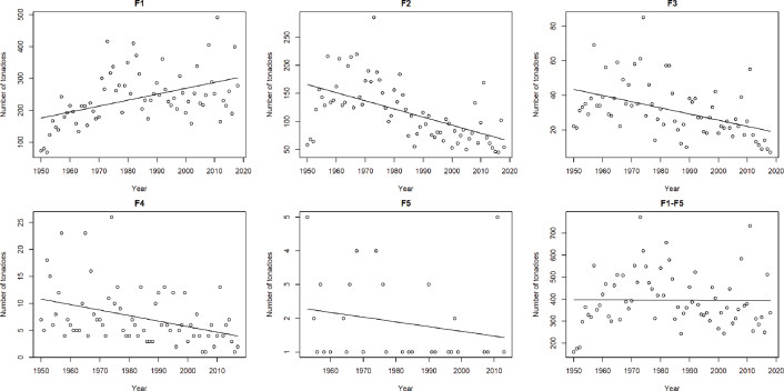
Zhang et al. also find that the strongest tornadoes have also declined appreciably since 1950. The figure below shows their presentation of trends in tornadoes of various intensities (with F1 the weakest and F5 the strongest). You can see that the incidence of tornadoes of F2 strength and stronger have decreased. In our 2013 analysis we found that ~90% of damage results from tornadoes of F2 strength or stronger.
In the 11 full years following our analysis, 9 of 11 have seen overall below average tornado incidence in the United States — 2023 will wind up slightly above average. There is simply no evidence to support claims that tornadoes are getting worse or causing more damage. In fact, the evidence indicates the opposite and peer-reviewed research is strongly in agreement.
Why has the downward trend occurred? Might climate change play a role? You rarely see such questions asked or explored in the scientific literature.
Studies that normalize disaster losses occupy a prominent place in scientific research — they are widely published and cited, have reached conclusions that are frequently and successfully replicated and are commonly utilized in insurance and reinsurance. However, despite all this these studies are all but comprehensively ignored by the media and the scientific assessments of the IPCC and US National Climate Assessment.
Why is this literature ignored?
Misinformation on extreme weather and disasters sits out in plain sight, and is easily refuted — yet there seems to be exceedingly strong social norms and political pressures to simply not call things straight. It is really remarkable.
I am confident that good science will win out in the end. It just might take a while. Meantime, here at THB, I’ll keep sharing the science behind the curtain.
Help get good science out there by sharing this post! I welcome your comments, questions and discussion. THB is a group effort, so thanks for reading and subscribing.




Nice post - and really clean! I could come up with only one small nit:
"which instead claimed the opposite contrary to the evidence and peer-reviewed research:"
should be
"which instead claimed the opposite - contrary to the evidence and peer-reviewed research:"
this is like the joke about commas saving lives - the difference between
"Let's eat Gramma" and "Let's eat, Gramma"
Frank
For many readers it would be helpful to explain how normalization works. Otherwise, they might worry that it is distorting rather than clarifying the facts. More power to you for so ably conveying all the information you do.